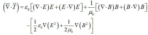
equation4

From: Electrostatic behavior of conductive particles on conductive and dielectric surfaces in gas-insulated substation environments

figure1 Back to article page