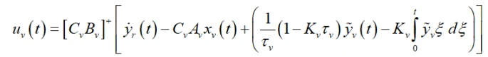
eq22

From: Development of bounded uncertainty estimator based robust control scheme for enhanced performance of variable speed wind turbine using particle swarm optimization

figure1 Back to article page