From: Buckling problem of sandwich rectangular plates consisting of polymer-based nanocomposite layers under compressive load

figure1

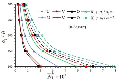
Figure 2. Distribution of dimensionless critical load values ​​of sandwich plate with U, V, O and X pattern (0o/90o/0o) arrangement versus  for different

Back to article page