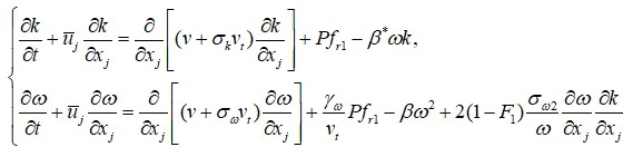
equation4

From: Analysis of the effect of the cross-section of spiral fins in pipes of a linear focusing solar collector on heat transfer efficiency and hydrodynamic properties

figure1 Back to article page